Matemathics Explanations of Derivatives

Math Explanation CODE relations

From Andraelity, how CODE using math.

In thy following lines we are going to verify or create the connexion that would allow us to unite code with mathematics

Derivatives We are going to detail information and ideas that could help us clarify from which place all this properties came from in a more cohesive and organized way to validate that every single proof that we set is presented in an order that could help us understand the reasons of equality that could elevate in the future to a order of probabilities, the orders we are structuring right now are base entirely on very well define amounts, that we could follow in a relationship of quantity, a quantity of numbers that we could start to count, and keep counting till we are able to reason about more inmense and overlimited set of items.

Index Webpages Redirect

Eulers Identity



Sine and Cosine



$$\\[5ex]$$ $$\text{if Point } A = (x,y) = (1,0), \text{ then } \cos(A) = 1 \\[2ex]$$ $$\\[5ex]$$ $$\text{if Point } A = (x,y) = (1,0), \text{ then } \sin(A) = 0 \\[2ex]$$ $$\\[5ex]$$ $$\text{if Point } B = (x,y) = (0,1), \text{ then } \sin(B) = 1 \\[2ex]$$ $$\\[5ex]$$ $$\text{if Point } B = (x,y) = (0,1), \text{ then } \cos(B) = 0 \\[2ex]$$ $$\\[5ex]$$


$$\\[5ex]$$ $$\text{If } \theta = 45^\circ = \frac{\pi}{4},\hspace{5pt} C = (0.707106811865, 0.707106811865)$$ $$\\[3ex]$$ $$\text{If } C = (0.707106811865, 0.707106811865),\hspace{5pt} C, sin = C.y = 0.707106811865$$ $$\\[3ex]$$ $$\text{If } C = (0.707106811865, 0.707106811865),\hspace{5pt} C, \cos = C.x = 0.707106811865$$ $$\\[5ex]$$ $$\text{If } \theta = 45^\circ = \frac{\pi}{4} ,\hspace{5pt} \sin(\theta) = 0.707106811865$$ $$\\[5ex]$$ $$\text{If } \theta = 45^\circ = \frac{\pi}{4},\hspace{5pt} \cos(\theta) = 0.707106811865$$ $$\\[5ex]$$ $$|\vec{C}| = \sqrt{x^2 + y^2}$$ $$\\[3ex]$$ $$\text{hipotenuse} = \hspace{3pt} h \hspace{3pt} = \sqrt{\text{base}^2 + \text{height}^2} \implies |\vec{C}| = \sqrt{x^2 + y^2}$$ $$\\[5ex]$$ $$|\vec{C}| = \sqrt{x^2 + y^2} = \hspace{3pt} 1 \hspace{3pt} = \sqrt{(\cos 45^\circ)^2 + (\sin 45^\circ)^2} = \sqrt{\left(\cos \left(\frac{\pi}{4}\right)\right)^2 + \left(\sin \left(\frac{\pi}{4}\right)\right)^2}$$







$$\LARGE\text{Identity \#1}$$

$$\\[5ex]$$ $$\boxed{\quad\cos(A + B) = \cos(A)\cos(B) - \sin(A)\sin(B)\quad} \\[5ex]$$ $$\\[5ex]$$ $$\text{Point } P_0: \text{At angle } 0 \implies (x, y) = (1, 0)$$ $$\\[5ex]$$ $$\text{Point } P_1: \text{At angle } B \implies (x, y) = (\cos B, \sin B)$$ $$\\[5ex]$$ $$\text{Point } P_2: \text{At angle } -A \implies (x, y) = (\cos(-A), \sin(-A)), \text{ which simplifies to } (\cos A, -\sin A)$$ $$\\[5ex]$$ $$\text{Point } P_3: \text{At angle } A+B \implies (x, y) = (\cos(A+B), \sin(A+B))$$


$$\\[5ex]$$ $$d^2 = (x_2 - x_1)^2 + (y_2 - y_1)^2 \quad \text{(derived from } a^2 + b^2 = c^2\text{)}$$ $$\\[5ex]$$ $$(d_{P_1 P_2})^2 = (d_{P_0 P_3})^2$$ $$\\[5ex]$$ $$\text{For } P_0 \text{ to } P_3:$$ $$\\[5ex]$$ $$(d_{P_0 P_3})^2 = (\cos(A+B) - 1)^2 + (\sin(A+B) - 0)^2$$ $$\\[5ex]$$ $$(d_{P_0 P_3})^2 = \cos^2(A+B) - 2\cos(A+B) + 1 + \sin^2(A+B)$$ $$\\[5ex]$$ $$\sin^2\theta + \cos^2\theta = 1$$ $$\\[5ex]$$ $$(d_{P_0 P_3})^2 = \underbrace{\cos^2(A+B) + \sin^2(A+B)}_{1} - 2\cos(A+B) + 1$$ $$\\[5ex]$$ $$(d_{P_0 P_3})^2 = 1 - 2\cos(A+B) + 1$$ $$\\[5ex]$$ $$(d_{P_0 P_3})^2 = 2 - 2\cos(A + B)$$ $$\\[5ex]$$ $$\text{For } P_1 \text{ to } P_2:$$ $$\\[5ex]$$ $$(d_{P_1 P_2})^2 = (\cos B - \cos A)^2 + (\sin B - (-\sin A))^2$$ $$\\[5ex]$$ $$(d_{P_1 P_2})^2 = (\cos B - \cos A)^2 + (\sin B + \sin A)^2$$ $$\\[5ex]$$ $$(d_{P_1 P_2})^2 = (\cos^2 B - 2\cos A \cos B + \cos^2 A) + (\sin^2 B + 2\sin A \sin B + \sin^2 A)$$ $$\\[5ex]$$ $$(\cos^2 B + \sin^2 B = 1) \text{ and } (\cos^2 A + \sin^2 A = 1)$$ $$\\[5ex]$$ $$(d_{P_1 P_2})^2 = \underbrace{\cos^2 B + \sin^2 B}_{1} + \underbrace{\cos^2 A + \sin^2 A}_{1} - 2\cos A \cos B + 2\sin A \sin B$$ $$\\[5ex]$$ $$(d_{P_1 P_2})^2 = 1 + 1 - 2\cos A \cos B + 2\sin A \sin B$$ $$\\[5ex]$$ $$(d_{P_1 P_2})^2 = 2 - 2\cos A \cos B + 2\sin A \sin B$$ $$\\[5ex]$$ $$(d_{P_0 P_3})^2 = (d_{P_1 P_2})^2 $$ $$\\[5ex]$$ $$2 - 2\cos(A+B) = 2 - 2\cos A \cos B + 2\sin A \sin B$$ $$\\[5ex]$$ $$-2\cos(A+B) = -2\cos A \cos B + 2\sin A \sin B$$ $$\\[5ex]$$ $$\large \boxed {\quad \cos(A+B) = \cos A \cos B - \sin A \sin B \quad }$$ $$\\[5ex]$$

$$\LARGE\text{Identity \#2}$$

$$\\[5ex]$$ $$\boxed{\large \quad \mathbf{\sin(x+h) = \sin(x)\cos(h) + \cos(x)\sin(h)}\quad}$$
$$\begin{aligned} &\text{1. The Geometric Setup} \\ &\text{Imagine two angles, } \alpha \text{ (which we'll call } x\text{) and } \beta \text{ (which we'll call } h\text{), stacked on top of each other:} \\ &\text{Draw angle } x \text{ from the } x\text{-axis.} \\ &\text{Draw angle } h \text{ starting from the terminal side of } x\text{.} \\ &\text{The total angle from the } x\text{-axis is } (x + h)\text{.} \\ &\text{We place a point } P \text{ on the terminal side of the total angle such that the distance from the origin } O \\ &\text{ to } P \text{ is 1 unit } (OP = 1)\text{.} \\[5ex] &\text{2. Identifying the Components} \\ &\text{To find } \sin(x + h)\text{, we need the vertical height of point } \\ &P \text{ relative to the } x\text{-axis. Let’s drop some perpendicular lines to create right triangles:} \\ &\text{Drop a perpendicular from } P \text{ to the terminal side of angle } x \text{ at point } Q\text{.} \\ &\text{Drop a perpendicular from } P \text{ to the } x\text{-axis at point } R\text{. } PR \text{ is our goal, because } PR = \sin(x+h)\text{.} \\ &\text{Drop a perpendicular from } Q \text{ to the } x\text{-axis at point } S\text{.} \\ &\text{Draw a horizontal line from } Q \text{ to the line } PR\text{, hitting it at point } T\text{.} \\ &\text{Now, notice that the total height } PR \text{ is composed of two segments:} \\ &PR = PT + TR \\ &\text{Since } TRQS \text{ is a rectangle, } TR = QS\text{. So:} \\ &\sin(x+h) = PT + QS \end{aligned}$$
$$\\[5ex]$$ $$\begin{aligned} &\text{3. Solving for the Segments} \\ &\text{We now look at the two right triangles we've created:} \\ &\text{Triangle 1: } \triangle OQP \\ &\text{The hypotenuse } OP = 1\text{.} \\ &PQ = \sin(h) \\ &OQ = \cos(h) \\ &\text{Triangle 2: } \triangle OSQ \\ &\text{This triangle has angle } x \text{ and hypotenuse } OQ \text{ (which we know is } \cos(h)\text{).} \\ &\sin(x) = \frac{QS}{OQ} \implies QS = OQ \sin(x) \\ &\text{Substitute } OQ\text{: } QS = \cos(h) \sin(x) \\ &\text{Triangle 3: } \triangle TQP \\ &\text{This is the clever part. The angle } \angle TPQ \text{ is actually equal to } x \\ &\text{ (because its sides are perpendicular to the sides of angle } x\text{).} \\ &\cos(x) = \frac{PT}{PQ} \implies PT = PQ \cos(x) \\ &\text{Substitute } PQ\text{: } PT = \sin(h) \cos(x) \end{aligned}$$ $$\\[5ex]$$
$$\begin{aligned} &\text{4. Combining the Results} \\ &\text{Now we plug our values for } QS \text{ and } PT \text{ back into our original height equation:} \\ &\sin(x+h) = PT + QS \\ &\sin(x+h) = (\sin(h) \cos(x)) + (\cos(h) \sin(x)) \\ &\text{Rearranging for the standard form:} \\ &\mathbf{\sin(x+h) = \sin(x)\cos(h) + \cos(x)\sin(h)} \end{aligned}$$
$$\\[5ex]$$ $$\boxed{\large \quad \mathbf{\sin(x+h) = \sin(x)\cos(h) + \cos(x)\sin(h)}\quad}$$





Limits



$$\LARGE\text{Limits \#1}$$


$$\\[5ex]$$ $$\large\boxed {\lim_{h \to 0} \frac{\sin(h)}{h} = 1}$$ $$\\[5ex]$$ $$\begin{aligned} &\text{\textbf{Geometric Setup}} \\ &\text{Consider a unit circle with radius } r = 1 \text{ and an angle } h \text{ where } 0 < h < \frac{\pi}{2}. \\ &\text{We define three regions based on this angle:} \\ \\ &\text{1. \textbf{Small Triangle:}} \text{ vertices at } (0,0), (1,0), \text{ and } (\cos(h), \sin(h)). \\ &\text{Area}_{\text{triangle 1}} = \frac{1}{2} \cdot \text{base} \cdot \text{height} = \frac{1}{2} \cdot 1 \cdot \sin(h) = \frac{1}{2}\sin(h) \\ \\ &\text{2. \textbf{Circular Sector:}} \text{ with central angle } h. \\ &\text{Area}_{\text{sector}} = \frac{1}{2} r^2 h = \frac{1}{2} (1)^2 h = \frac{1}{2}h \\ \\ &\text{3. \textbf{Large Triangle:}} \text{ formed by the base and the tangent line at } (1,0). \\ &\text{Area}_{\text{triangle 2}} = \frac{1}{2} \cdot \text{base} \cdot \text{height} = \frac{1}{2} \cdot 1 \cdot \tan(h) = \frac{1}{2}\tan(h) \\[7ex] &\textbf{Establishing the Inequality} \\ \\ &\text{From the geometry of the unit circle, it is clear that:} \\[8px] &\text{Area}_{\text{triangle 1}} < \text{Area}_{\text{sector}} < \text{Area}_{\text{triangle 2}} \\[8px] &\text{Substituting the formulas derived above:} \\[8px] &\frac{1}{2}\sin(h) < \frac{1}{2}h < \frac{1}{2}\tan(h) \\[8px] &\text{Multiply the entire inequality by } 2 \text{ to simplify:} \\[5px] &\sin(h) < h < \tan(h) \\[7ex] &\text{\textbf{3. Algebraic Manipulation}} \\ &\text{Since we are interested in } \frac{\sin(h)}{h}, \text{ we divide the inequality by } \sin(h). \\ &\text{Because } h \text{ is in the first quadrant } (0 < h < \frac{\pi}{2}), \sin(h) \text{ is positive, so the} \\ &\text{inequality signs do not flip:} \\ \\ &\frac{\sin(h)}{\sin(h)} < \frac{h}{\sin(h)} < \frac{\tan(h)}{\sin(h)} \\ \\ &\text{Recalling that } \tan(h) = \frac{\sin(h)}{\cos(h)}, \text{ we get:} \\ \\ &1 < \frac{h}{\sin(h)} < \frac{1}{\cos(h)} \\[7ex] &\textbf{Reciprocal Rule:} \\ &\text{When you take the reciprocal of all parts of an inequality where all} \\ &\text{terms are positive, the inequality symbols must flip.} \\[1em] &2 < 3 < 4 \\[0.5em] &\frac{1}{2} > \frac{1}{3} > \frac{1}{4} \\[7ex] \end{aligned}$$
$$\begin{aligned} \boxed { \text{The reciprocal of a function is simply } 1 \text{ divided by that function.} \\ \text{If you have a function } f(x), \text{ its reciprocal is:} \\[1em] \quad \frac{1}{f(x)} \quad \text{or} \quad [f(x)]^{-1} } \end{aligned}$$ $$\\[5ex]$$
$$\begin{aligned} &\text{Now, take the reciprocal of all parts. Taking the reciprocal of} \\ &\text{positive terms reverses the inequality signs:} \\ \\ &1 > \frac{\sin(h)}{h} > \cos(h) \\ \\ &\text{Or, written more standardly:} \\ \\ &\cos(h) < \frac{\sin(h)}{h} < 1\\ \\ &\ {\lim_{h \to 0}cos(h) < \lim_{h \to 0}\frac{\sin(h)}{h} < \lim_{h \to 0} 1}\\ \\ &\text{We now take the limit as } h \to 0 \text{ for the outer functions:} \\ \\ &\lim_{h \to 0} 1 = 1 \\ &\lim_{h \to 0} \cos(h) = \cos(0) = 1 \\ \\ &1 \le \lim_{h \to 0} \frac{\sin(h)}{h} \le 1 \\[5ex] &\text{Since } \frac{\sin(h)}{h} \text{ is "squeezed" between two functions that both approach } 1 \\ &\text{as } h \text{ approaches } 0, \text{ the Squeeze Theorem states that:} \\ \\ &\boxed{\color{white}{\lim_{h \to 0^+} \frac{\sin(h)}{h} = 1}} \end{aligned}$$ $$\\[5ex]$$

$$\LARGE\text{Limits \#2}$$


$$\boxed{\color{white}{\lim_{h \to 0} \frac{\cos(h) - 1}{h} = 0}}$$ $$\\[5ex]$$ $$\lim_{h \to 0} \frac{\cos(h) - 1}{h} \cdot \frac{\cos(h) + 1}{\cos(h) + 1}$$ $$\\[5ex]$$ $$\lim_{h \to 0} \frac{\cos^2(h) - 1}{h(\cos(h) + 1)}$$ $$\\[5ex]$$ $$\sin^2(h) + \cos^2(h) = 1 \implies \cos^2(h) - 1 = -\sin^2(h)$$ $$\\[5ex]$$ $$\lim_{h \to 0} \frac{-\sin^2(h)}{h(\cos(h) + 1)}$$ $$\\[5ex]$$ $$\lim_{h \to 0} \left( \frac{\sin(h)}{h} \cdot \frac{-\sin(h)}{\cos(h) + 1} \right)$$ $$\\[5ex]$$ $$\lim_{x \to a} [f(x) \cdot g(x)] = \left( \lim_{x \to a} f(x) \right) \cdot \left( \lim_{x \to a} g(x) \right)$$ $$\\[5ex]$$ $$\text{if, }\quad \lim_{h \to 0} \frac{\sin(h)}{h} = 1$$ $$\\[5ex]$$ $$\text{if, } h = 0 \implies \frac{-\sin(0)}{\cos(0) + 1} = \frac{0}{1 + 1} = \frac{0}{2} = 0$$ $$\\[5ex]$$ $$(1) \cdot (0) = 0$$ $$\\[5ex]$$ $$\boxed{\lim_{h \to 0} \frac{\cos(h) - 1}{h} = 0}$$ $$\\[5ex]$$

$$\LARGE\text{Limits \#3}$$


$$\large\boxed{\lim_{h \to 0} \frac{e^h - 1}{h} = 1}$$ $$\\[5ex]$$ $$e^x = 1 + x + \frac{x^2}{2!} + \frac{x^3}{3!} + \dots$$ $$\\[5ex]$$ $$\text{if, } h = x,\quad e^h = 1 + h + \frac{h^2}{2!} + \frac{h^3}{3!} + \dots$$ $$\\[5ex]$$ $$\lim_{h \to 0} \frac{(1 + h + \frac{h^2}{2!} + \frac{h^3}{3!} + \dots) - 1}{h}$$ $$\\[5ex]$$ $$\lim_{h \to 0} \frac{h + \frac{h^2}{2!} + \frac{h^3}{3!} + \dots}{h}$$ $$\\[5ex]$$ $$\lim_{h \to 0} \left( \frac{h}{h} + \frac{h^2}{2!h} + \frac{h^3}{3!h} + \dots \right)$$ $$\\[5ex]$$ $$\lim_{h \to 0} \left( \frac{h}{h} + \frac{h^2}{2!h} + \frac{h^3}{3!h} + \dots \right)$$ $$\\[5ex]$$ $$\lim_{h \to 0} \left( 1 + \frac{h}{2!} + \frac{h^2}{3!} + \dots \right)$$ $$\\[5ex]$$ $$1 + 0 + 0 + \dots = 1$$ $$\\[5ex]$$ $$\boxed{\lim_{h \to 0} \frac{e^h - 1}{h} = 1} $$


Derivative


$$\text{General Formula for Derivative}$$ $$\\[5ex]$$ $$f'(x) = \lim_{h \to 0} \frac{f(x + h) - f(x)}{h}$$ $$\\[5ex]$$

$$\LARGE\text{Example \#1}$$

$$\\[5ex]$$ $$\large \boxed {\quad f(x) = x^2 \quad}$$ $$\\[5ex]$$ $$f(x+h) = (x+h)^2$$ $$\\[5ex]$$ $$f'(x) = \lim_{h \to 0} \frac{(x+h)^2 - x^2}{h}$$ $$\\[5ex]$$ $$(x+h)^2 = x^2 + 2xh + h^2$$ $$\\[5ex]$$ $$f'(x) = \lim_{h \to 0} \frac{\color{red}{\cancel{x^2}} \color{white}{+ 2xh + h^2} \color{red}{\cancel{- x^2}}}{h}$$ $$\\[5ex]$$ $$f'(x) = \lim_{h \to 0} \frac{2xh + h^2}{h}$$ $$\\[5ex]$$ $$f'(x) = \lim_{h \to 0} \frac{\color{red}{\cancel{h}} \color{white}{(2x + h)}}{\color{red}{\cancel{h}}}$$ $$\\[5ex]$$ $$f'(x) = \lim_{h \to 0} (2x + h)$$ $$\\[5ex]$$ $$f'(x) = 2x + 0$$ $$\\[5ex]$$ $$\large \boxed {\quad f'(x) = 2x \quad}$$ $$\\[5ex]$$

$$\large \text{Theorem \#1 }$$

$$\\[5ex]$$ $$\large \boxed {\quad f(x) = x^n \quad}$$ $$\\[5ex]$$ $$f(x) = x^n \implies f'(x) = nx^{n-1}$$ $$\\[5ex]$$ $$f'(x) = \lim_{h \to 0} \frac{f(x + h) - f(x)}{h}$$ $$\\[5ex]$$ $$f'(x) = \lim_{h \to 0} \frac{(x + h)^n - x^n}{h}$$ $$\\[5ex]$$ $$\text{Binomial Theorem}$$ $$(x + h)^n = x^n + nx^{n-1}h + \frac{n(n-1)}{2}x^{n-2}h^2 + \dots + h^n$$ $$\\[5ex]$$ $$f'(x) = \lim_{h \to 0} \frac{\left( \color{red}{\cancel{x^n}} \color{white}{+ nx^{n-1}h + \frac{n(n-1)}{2}x^{n-2}h^2 + \dots + h^n} \right) \color{red}{\cancel{- x^n}}}{h}$$ $$\\[5ex]$$ $$f'(x) = \lim_{h \to 0} \frac{nx^{n-1}h + \frac{n(n-1)}{2}x^{n-2}h^2 + \dots + h^n}{h}$$ $$\\[5ex]$$ $$f'(x) = \lim_{h \to 0} \frac{h \left( nx^{n-1} + \frac{n(n-1)}{2}x^{n-2}h + \dots + h^{n-1} \right)}{h}$$ $$\\[5ex]$$ $$f'(x) = \lim_{h \to 0} \frac{\color{red}{\cancel{h}} \color{white}{\left( nx^{n-1} + \frac{n(n-1)}{2}x^{n-2}h + \dots + h^{n-1} \right)}}{\color{red}{\cancel{h}}}$$ $$\\[5ex]$$ $$f'(x) = \lim_{h \to 0} \left( nx^{n-1} + \frac{n(n-1)}{2}x^{n-2}h + \dots + h^{n-1} \right)$$ $$\\[5ex]$$ $$f'(x) = nx^{n-1} + 0 + 0 + \dots + 0$$ $$\\[5ex]$$ $$\large \boxed {\quad f'(x) = nx^{n-1}\quad}$$ $$\\[5ex]$$

$$\large \text{Theorem \#2 }$$

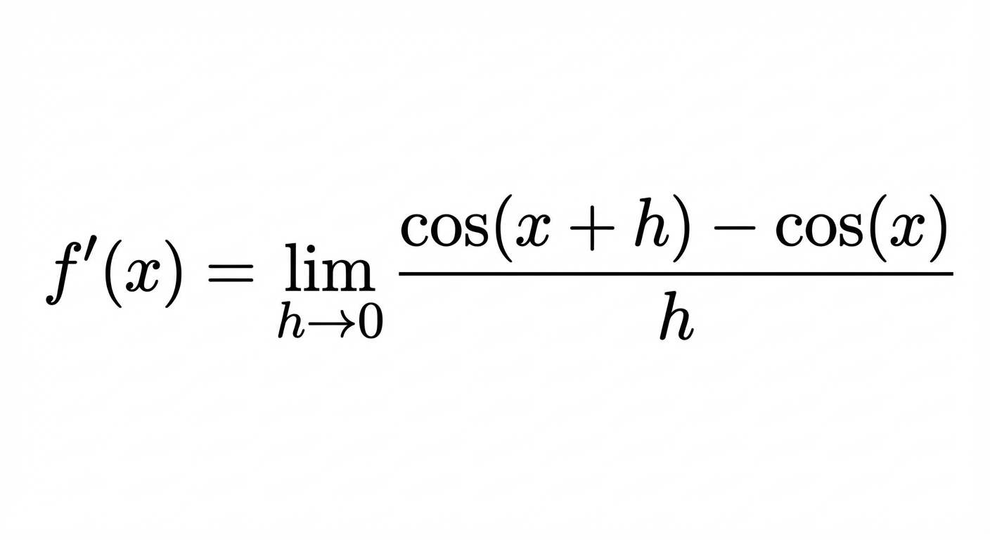
$$\\[5ex]$$ $${\quad f(x) = \cos(x_1) \quad}$$ $$\\[5ex]$$ $$\large \boxed {f'(x) = \lim_{h \to 0} \frac{\cos(x + h) - \cos(x)}{h}}$$ $$\\[5ex]$$ $$\cos(x + h) = \cos(x)\cos(h) - \sin(x)\sin(h)$$ $$\\[5ex]$$ $$f'(x) = \lim_{h \to 0} \frac{\cos(x)\cos(h) - \cos(x) - \sin(x)\sin(h)}{h}$$ $$\\[5ex]$$ $$f'(x) = \lim_{h \to 0} \left[ \cos(x) \left( \frac{\cos(h) - 1}{h} \right) - \sin(x) \left( \frac{\sin(h)}{h} \right) \right]$$ $$\\[5ex]$$ $$\text{if, } \quad \lim_{h \to 0} \frac{\sin(h)}{h} = 1$$ $$\\[5ex]$$ $$\text{if, }\quad \lim_{h \to 0} \frac{\cos(h) - 1}{h} = 0$$ $$\\[5ex]$$ $$f'(x) = \cos(x) \cdot (0) - \sin(x) \cdot (1)$$ $$\\[5ex]$$ $$\boxed{f'(x) = -\sin(x)}$$ $$\\[5ex]$$

$$\large \text{Theorem \#3 }$$

$$\\[5ex]$$ $$\large \boxed {f'(x) = \lim_{h \to 0} \frac{\sin(x + h) - \sin(x)}{h}}$$ $$\\[5ex]$$ $$\sin(x+h) = \sin(x)\cos(h) + \cos(x)\sin(h)$$ $$\\[5ex]$$ $$f'(x) = \lim_{h \to 0} \frac{\sin(x)\cos(h) + \cos(x)\sin(h) - \sin(x)}{h}$$ $$\\[5ex]$$ $$f'(x) = \lim_{h \to 0} \left[ \frac{\sin(x)(\cos(h) - 1)}{h} + \frac{\cos(x)\sin(h)}{h} \right]$$ $$\\[5ex]$$ $$f'(x) = \sin(x) \cdot \lim_{h \to 0} \left( \frac{\cos(h) - 1}{h} \right) + \cos(x) \cdot \lim_{h \to 0} \left( \frac{\sin(h)}{h} \right)$$ $$\\[5ex]$$ $$\lim_{h \to 0} \frac{\sin(h)}{h} = 1$$ $$\\[5ex]$$ $$\lim_{h \to 0} \frac{\cos(h) - 1}{h} = 0$$ $$\\[5ex]$$ $$f'(x) = \sin(x) \cdot (0) + \cos(x) \cdot (1)$$ $$\\[5ex]$$ $$f'(x) = \cos(x)$$ $$\\[5ex]$$

$$\large \text{Theorem \#4 }$$

$$\\[5ex]$$ $$\large \boxed {f'(x) = \lim_{h \to 0} \frac{f(x + h) - f(x)}{h}}$$ $$\\[5ex]$$ $$f'(x) = \lim_{h \to 0} \frac{e^{x+h} - e^x}{h}$$ $$\\[5ex]$$ $$e^{a+b} = e^{a} \cdot e^{b},\quad e^{x+h}$$ $$\\[5ex]$$ $$f'(x) = \lim_{h \to 0} \frac{e^x \cdot e^h - e^x}{h}$$ $$\\[5ex]$$ $$f'(x) = \lim_{h \to 0} \frac{e^x(e^h - 1)}{h}$$ $$\\[5ex]$$ $$f'(x) = e^x \cdot \left[ \lim_{h \to 0} \frac{e^h - 1}{h} \right]$$ $$\\[5ex]$$ $$\lim_{h \to 0} \frac{e^h - 1}{h} = 1$$ $$\\[5ex]$$ $$f'(x) = e^x \cdot (1)$$ $$\\[5ex]$$ $$\large \boxed {f'(x) = e^x}$$ $$\\[5ex]$$




End



Mathematics-Code_INDEX